Ir para o conteudo Ir para o fim do conteudo
Avenida Presidente Bernardes, 809 - Bairro Centro CEP 86.600-067 - Rolândia - PR

Notícias

Prefeitura Municipal de Rolândia


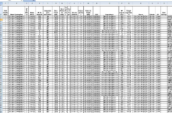
ASSISTÊNCIA SOCIAL PUBLICA PLANILHA DE QUADRAS E LOTES DO ‘TOMIE NAGATANI’
  • Data: 03 Mar

  • Autor: PMR

A planilha refere-se ao sorteio de quadras e lotes realizado em 29/12/2014, às 19h, no Colégio Kennedy, em Rolândia. A mesma encontra-se disponível também em meio físico na sede da Secretaria Municipal de Assistência Social, no 3° andar do ...

PALESTRA ESCLARECE POPULAÇÃO SOBRE USO DA ANTIGA PEDREIRA
  • Data: 02 Mar

  • Autor: PMR

Na ocasião, primeiramente foi feita uma explanação sobre as atividades realizadas pela secretaria, com relação ao recolhimento e destinação dos resíduos domiciliares e da construção civil. Incluindo também a limpeza pública, que é exec...

PREFEITURA VAI PROMOVER EVENTO PELO DIA INTERNACIONAL DA MULHER
  • Data: 26 Fev

  • Autor: PMR

Dentro da programação haverá a tradicional corrida e caminhada pelo fim da violência contra a mulher, a partir das 8:30 horas, na Avenida Castro Alves, ao lado da quadra espaço Viva Viva do Complexo Esportivo Emílio Gomes, com entrega de prem...

CARNÊS DO IPTU QUE NÃO FORAM ENTREGUES PELOS CORREIOS DEVEM SER RETIRADOS NA PREFEITURA
  • Data: 25 Fev

  • Autor: PMR

A outra opção para o contribuinte pagar o IPTU de 2015 é imprimir o boleto acessando o site da prefeitura: www.rolandia.pr.gov.br. Basta clicar no ícone AR Cidadão, depois em “Imprimir 2ª via do IPTU”, selecionar o cadastro “Imobiliári...

PRESIDENTE DA UCES DE CAMBÉ VISITA PREFEITO JOHNNY LEHMANN
  • Data: 24 Fev

  • Autor: PMR

Segundo Bruno Silva, a UCES tem 60 anos de história na cidade de Cambé e que, por alguma razão, ficou desativada por dez anos. Em dezembro de 2014, o Congresso da União Municipal dos Estudantes Secundaristas (CONUMES) elegeu a nova gestão da U...

VEM AÍ O 5º TORNEIO DE PESCA DE ROLÂNDIA NO LAGO DO SÃO FERNANDO
  • Data: 24 Fev

  • Autor: PMR

A Prefeitura de Rolândia estará disponibilizando 1.300 quilos de peixes da espécie tilápia e pacu no Lago do São Fernando, sendo uma quantidade padrão já utilizada nos festivais anteriores.Além de divulgar o potencial turístico do municíp...

DISTRITO DE SÃO MARTINHO GANHA ESCOLA NOVA
  • Data: 23 Fev

  • Autor: PMR

Sua capacidade visa atender 150 alunos de 4 a 10 anos, do Ensino Infantil e Fundamental, em período matutino e vespertino, com atendimento nas turmas – EI 5 (antigo pré II), EI 6 (antigo pré III), e 1º, 2º, 3º, 4º e 5º ano.  A escol...

PONTE DO ELEFANTE PERTENCE AO MUNICÍPIO DE CAMBÉ
  • Data: 19 Fev

  • Autor: PMR

Para evitar qualquer polêmica, e desagravo junto à comunidade local, a Assessoria de Imprensa da Prefeitura de Rolândia entrou em contato com o Secretário de Obras de Cambé, Osmarino Manzoni, para obter as informações necessárias e esclarec...

TESTE
  • Data: 18 Fev

  • Autor: PMR

...

SECRETARIA DE ESPORTES ESTÁ COM INSCRIÇÕES ABERTAS PARA ESCOLINHAS DE BASQUETE E FUTSAL
  • Data: 13 Fev

  • Autor: PMR

Confira os dias, horários e locais dos treinamentos, e a faixa etária por modalidade: Basquete - (7 a 11 anos) - terça e quinta-feira – das 13h30 às 15 h, na quadra (1) do Complexo Esportivo Emílio Gomes, com a professora Regina.Futsal ...